RICS



则R1CS成立。
TransitionintoPolynomial(efficiency)
Prepare

Definepolynomial

2.为向量z=(x,w)定义多项式

Lens Protocol将Optimistic L3扩展方案更名为Momoka:金色财经报道,Web3社交图谱协议Lens Protocol将Optimistic L3扩展解决方案Bonsai更名为Momoka,旨在将以超大规模扩展处理交易和支持下一代Web3社交用户。Momoka已经在Lens生态应用Lenster、Lenstube、orb、Buttrfly、Phaver开始测试。[2023/4/28 14:31:58]
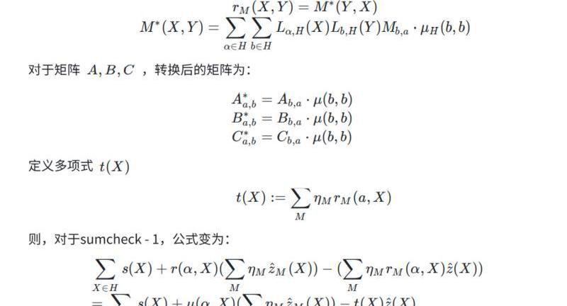
3.为矩阵A,B,C定义多项式?
为了减小verifier计算的复杂度,这里用了一个特殊的形式来表示矩阵,以上述示例的矩阵A为例:


Linearitycheck



Nansen:过去7天Arbitrum跨链桥交易额达到9340万美元:金色财经报道,区块链分析公司Nansen发推表示,用户正在“押注”Arbitrum和StarkWare将是下一波代币空投的头部链,Arbitrum金额在1万美元以上、StarkWare金额在100-1000美元的跨链交易量大幅上涨。
数据显示,过去7天Arbitrum L1 Custom Gateway的总交易额达到9340万美元、Polygon PoS ERC20跨链桥总交易额为4680万美元、Optimism约为4440万美元、Synapse以太坊桥总交易额为2900万美元。[2023/2/14 12:05:57]
可以看出,当多项式t(X)取遍H值时,满足:

同样,也可以从公式推导:


AHPforR1CS
Common

CoinZoom推出比特币礼品卡:金色财经报道,加密货币交易所CoinZoom推出比特币礼品卡。此前CoinZoom对4000名18岁以上的美国人进行的调查中,几乎三分之一(31%)的美国人对在这个假日季节赠送和接受礼品卡感到更加积极。因此,超过四分之一(28%)的美国成年人现在每月购买一次或更多礼品卡。[2022/12/14 21:44:18]
Prover
=>Prover

=>Oracle

=>Prover?-sumcheck-1

=>Oracle

=>Prover-?sumcheck-1

Optimism Governance将3200万OP转移至Coinbase托管账户:10月27日消息,Optimism Governance宣布,今天将把大约3200万投资者拥有的OP从多重签名托管钱包转移到他们各自的Coinbase托管账户。这不是解锁,代币归属时间表没有改变。[2022/10/27 11:46:09]
=>Prover-?sumcheck-2

=>Oracle

=>Prover-?sumcheck-2

=>Prover-?sumcheck-3

=>Oracle

Arthur Hayes:如果合并顺利进行,ETH现货价格将上涨:金色财经消息,BitMEX创始人Arthur Hayes发推特表示,ETH期货价格小于现货价格,会一直到2023年1月。推测是因为交易员在合并前对冲 ETH敞口。如果边际压力在卖方,那么做市商是做多期货,做空现货来对冲,这给现货市场增加了向下的价格压力。但如果合并成功,套期保值者会补仓,所以他们又净做多ETH,那么此时压力在买方,做市商做空期货,做多现货,与合并前的位置发生翻转。这是一个正反馈循环,如果9月15日的合并顺利进行,会导致现货价格上涨。若相信合并会成功,那么这是一个积极的结构性原因。[2022/8/12 12:20:38]
=>Prover-?sumcheck-3

Verifier
=>Verifier-sumcheck-3

=>Verifier-sumcheck-2
Recalltheequality

=>Verifier-sumcheck-1
Recalltheequality

=>Verifier

Polynomialcommitment?
协议总共进行了三轮交互,每轮交互承诺的多项式,以及query的点如下:

Optimization
Sum(s(X))=0
生成随机多项式:

Reducesumcheck?
根据COS20.Claim6.7论?提到的优化,我们令:

Common

Prover




Verifier

ReducepolynomialnumbersforSumcheck-2?
对三个矩阵的现行校验,压缩成对一个矩阵的校验,即:

对这个多项式进行稀疏矩阵的表示。?
矩阵多项式,从9个缩减为3个。?
Setb=1?
令b=1
FinalProcotol?
Marlininarkworks
参考
1.arkworksformarlin:https://github.com/arkworks-rs/marlin/blob/master/diagram/diagram.pdf
2.Marlin:https://eprint.iacr.org/2019/1047.pdf
3.COS20.Claim6.7(Fractal):https://eprint.iacr.org/2019/1076.pdf
4.paper5.2.1:https://eprint.iacr.org/2019/1047.pdf
关于我们
Sin7y成立于2021年,由顶尖的区块链开发者和密码学工程师组成。我们既是项目孵化器也是区块链技术研究团队,探索EVM、Layer2、跨链、隐私计算、自主支付解决方案等最重要和最前沿的技术。
微信公众号:Sin7y
GitHub:Sin7y
Twitter:@Sin7y_Labs
Medium:Sin7y
Mirror:Sin7y
HackMD:Sin7y
HackerNoon:Sin7y
Email:contact@sin7y.org
来源:金色财经
标签:VERPROCHESUMBunicorn Universal RewardSafeMars ProtocolAPACHE币SumSwap
首域亚洲增长基金领投,以Armonia公链和BSC双链为底层联合打造,Armonia公链提供技术服务支持.
1900/1/1 0:00:00注:原文标题为《Ikigai》,指“即使眼下元宇宙不怎么样,也能让你始终怀有希望”,作者是AhadShams,本文由DeFi之道隔夜的粥编译.
1900/1/1 0:00:00我们错估高涨的核心物价指数走势,导致上周的报告方向与市场走势完全相反,物价指数公布前加密货币市场原本有5%左右的涨幅,但公布后加密币市场这周与美股一同下跌,比特币走跌至19,000美元.
1900/1/1 0:00:00在宏观经济金融生态系统迫在眉睫的不确定性中,像币安这样的顶级交易所设法在交易量和消费者兴趣方面抢尽风头.
1900/1/1 0:00:00尽管对于行业人士来说,有关寻找更快更便宜的基础层区块链的对话并不是什么新鲜事。但随着DefiSummer持续一年有余的繁荣增长,更实际的需求——以太坊上高昂的gas费用使得开发者时间尤为昂贵.
1900/1/1 0:00:00跨链去中心化金融应用的流动资金池是去中心化的,解决这些问题需要一种协议,该协议能够实现跨链的互操作性和可组合性,同时解锁加密网络的新设计领域和可能性.
1900/1/1 0:00:00