作者介绍:
0xmc@0xreviews:机制审计、产品设计、密码经济学独立研究员。
0xjezex@0xreviews:代币经济学独立研究员,初级Solidity工程师,伦敦帝国理工学院金融科技硕士生。
0xstan@0xreviews:独立开发者,DappLearning核心贡献者。
paco@perp.com:Solidity开发者、安全研究员、DeFi爱好者。
前言
Curve稳定币最难的部分是LLAMMA。LLAMMA参考了Uniswapv3中的一些原则。但是,白皮书中的价格与Uniswapv3白皮书中的算法不同。我们将统一这两个项目,并尝试了解CurveCEO是如何设计这个演算法。
用Uniswapv3作为参考
本文中价格的定义与Uniswapv3互为倒数。因此,我们修改了Uniswapv3白皮书中的公式,让它与本文保持一致。简而言之,LLAMMA试图让Uniswapv3中的一切都变得动态,以便为crvUSD债务人和清算人提供更适当的价格。
恒定乘积公式(ConstantProductFomula)比较
Uniswapv3白皮书中的公式(2.2):


图一:Uniswapv3虚拟流动模拟
Curve稳定币白皮书中的公式(1):
Paypal推出美元稳定币PYUSD:金色财经报道,Paypal(PYPL.O)推出美元稳定币PayPal USD(PYUSD)用于转账和支付。PayPal USD 100%由美元、短期美国国债和现金等价物支持。PayPal USD可按1:1兑换美元,由Paxos Trust Company发行。PYUSD将逐步向PayPal在美国的客户开放,并将很快在Venmo上提供。
购买PYUSD的符合条件的美国PayPal客户将能够:
1. 在PayPal和兼容的外部钱包之间转移PYUSD;
2. 使用PYUSD进行个人对个人付款;
3. 在结账时选择使用PYUSD;
4.将PayPal支持的任何加密货币与PYUSD相互转换。
PayPal表示,PYUSD是PayPal网络中唯一支持的稳定币。PYUSD是在以太坊区块链上发行的ERC-20代币。[2023/8/7 21:30:22]


图二:有外部价格来源的AMM
在这裡Pcd代表Pcurrent_down,Pcu代表Pcurrent_up
而对应关係为:

Scroll联创:预计年内上线主网,一直看重开发、社区等高质量互动:5月22日消息,以太坊Layer2解决方案Scroll联合创始人Sandy Peng在接受区块先生Mr Block采访时表示,我们很有信心会在未来几个月以内推出我们的主网,具体的时间还没有定,应该是在Q3、Q4。
此外,Sandy就Token相关问题表示,我们会花很多的时间写教育类blog,帮助大家了解我们的技术、原理和概念。现在会花很多的时间精力去鼓励builder(开发者)去做一些能让大家共用、有用的东西,同时还会鼓励社区成员加强学习活动以投资自己,长期来看,肯定会有特别大的(知识上的)收益。还是要做一些building(开发)类的利他活动,与building、organization(社区)有关的,虽然很难衡量但却是我们一直看重的。更高质量的互动方式第一就肯定是自我的提升和学习。第二就是在Scroll上做一些高质量的创业。[2023/5/22 15:18:59]
对应的恒定乘积公式为:

而在这之间:

流动性计算公式对应
Uniswapv3白皮书中的公式(6.7):

链游Million on Mars完成350万美元种子轮融资:金色财经报道,链游 Million on Mars 完成 350 万美元种子轮融资,Great South Gate 和 Widus Partners 领投,Solana Labs 等参投。该轮融资用于支持其基于区块链的太空模拟,为游戏添加更多的系统和虚拟环境。该游戏可在 Solana 和 Wax 区块链上运行。[2023/2/17 12:13:43]
由于它们的价格定义之间存在倒数关係,对应的公式为:

此公式的一个具体应用是:

平方展开可以得到:

从上面的公式我们很容易的可以了解,当y0保持不变,Pcd和Pcu数值越接近,相对应的流动性I则越大。
换句话说:

Eight Capital Partners拟募资1000万英镑投资DeFi和潜在加密银行业务:11月3日消息,金融科技集团Eight Capital Partners宣布,作为其转型增长战略的一部分,该集团将通过配股方式(美股0.02便士的价格发现总计500亿份新股)募资1000万英镑。Eight Capital Partners董事会表示,他们将利用募集资金专注于投资金融科技、DeFi和“潜在”加密货币银行业务。(law360)[2022/11/4 12:15:03]
流动性不可能是无限的,在UniswapV3中对应最小的tick会限制L的大小。
由此可以推断在LLAMMA中,我们还需要定义一个指标来衡量价格之间的最小差异,来继续Uniswapv3和Curve的类推。
对应最小差价

从A的定义中可以看出?,当p↓和p↑越接近时,A则越大,流动性集中度越高:

Uniswapv3中,只有能被tickSpacing整除的tick才能被预设。因此,tickSpacing决定了LP分配流动性的最低价格范围。tickSpacing越小,价格范围越窄、越精确。在Uniswapv3中,不同的费用等级决定了不同的tickSpacing。
然而,crvUSDLLAMMA不需要那麽多tickSpacing。由于LLAMMA仅有ETH-crvUSD,因此只需要让每一个tickSpacing=100basepoint。?
P2E游戏SolChicks开发商Catheon Gaming完成5500万美元融资:金色财经报道,Solana上P2E游戏SolChicks开发商Catheon Gaming完成5500万美元融资,用于在Solana区块链上构建游戏。Catheon Gaming正计划推出一个名为catheon的新代币和一个新的即玩即赚(P2E)游戏平台,代币会在10月24日推出。Catheon Gaming计划允许符合条件的chicks持有者以1:1的比例将其代币换成catheon。(the block)[2022/10/18 17:31:03]
来自Uniswapv3的公式(6.1):

在LLAMMA中,A=100,来自Curve稳定币白皮书的公式(11):

设置n=-i,A=100,我们会得到:

设计Pcd和Pcu
我们希望LLAMMA具有以下属性:当ETH价格上涨时,矿池购买ETH。当ETH下跌时,矿池出售ETH。在这样的机制下,我们把Pcd和Pcu定义为Po的函数并且比线性函数更陡峭,因此它们的增长率会比Po更快。同时从图中可以看出两条曲线Pcu和Pcd分别通过两点(P↓,P↓)和(P↑,P↑)。满足以上要求的Pcd和Pcu其实有很多曲线。通用公式为:

当m<n
让我们从最简单的例子开始:

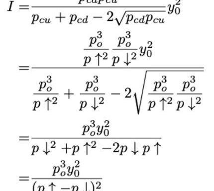
把Pcu和Pcd带入I的平方展开:

然后f2可以计算为:

不难发现f2在这种假设下很难理解和计算。如果Pcu和Pcd是?Po的三次函数:

把Pcu和Pcd带入I的平方展开:

重新计算f2:

可以看出,当?Pcu和Pcd是Po的三次函数,整个数学形式就简单多了。去掉了平方根项,计算方便多了。如果接受更高的订单,则AMM的价格和Po将相差很大,因此购买ETH的成本会更高,而导致更大的清算损失。总之,把Pcu和Pcd定义为Po的三次函数是一个更好的选择。
其他参数的推导
Pcu和Pcd是关于Po的三次函数,取特别数值Po=P↑,不难得到Y=Y0和X=0,于是:

鉴于I的公式,我们可以计算f和g:

在这边,我们最终得到完整的恒定乘积公式:

将上方公式转化为Y0二次方程式:

用一个未知数的二次方程求解Y0:

如果价格变动的够慢让预言机价格Po完全有能力遵循它,给定X和Y,使用Uniswapv3的计算公式,是有可能计算出ETH的Y↑是多少或美元的X↓最终将处于的区间内:

参考出处:Adams,Hayden,etal."Uniswapv3core."Tech.rep.,Uniswap,Tech.Rep,2021fromhttps://uniswap.org/whitepaper-v3.pdfEgorov,Michael,andCurveFinance.Curvestablecoindesign.Technicalreport,CurveFinance,Tech.Rep,2022fromhttps://github.com/curvefi/curve-stablecoin/blob/master/doc/curve-stablecoin.pdf
标签:SWAPUNIUniswapUSDOcean Swap BridgeSpooky Uniuniswap币总量有多少BUSD Buffet
Overview在这篇报告中你可以了解到:EIP-4844;Proto-danksharding;Danksharding;KZGCommitment;KZGCeremony;Dynamicst.
1900/1/1 0:00:00要点社区关闭流动性质押模块的决定,从而减少了200万美元的DYDX排放量。FTX崩溃后,每日活跃用户增加了39%。对归属时间表的修订延长了对1.5亿个DYDX代币的锁定.
1900/1/1 0:00:00注:本文来自@angalina2021推特,MarsBit整理如下:1.blur热度渐浓,粗略估值。有几个数据:1)NFT交易市场OS在2022年1月有一轮融资,估值是133亿美元.
1900/1/1 0:00:00注:本文来自@ConorRyder推特,MarsBit整理如下:代币解锁并非完全相同注意到$AXS和$SAND在解锁前抽水,比$ETH表现好50%和45%解锁被认为是看跌的催化剂.
1900/1/1 0:00:00以太坊上海升级即将到来,ETH质押解锁箭在弦上。用户通过LSD协议质押的ETH,也将随即解锁提取。以Lido为例,LSD以太坊质押提款主要面临几个问题:恶意用户重复发送提款请求,并重复取消请求.
1900/1/1 0:00:00这不是Forefront首次回顾加密行业中代币化社区赛道的年度发展历程,但毫无疑问,2022年的情况确实发生了很大变化.
1900/1/1 0:00:00