Bancor是最早进行AMM模式实践的DEX项目,不过第一个真正实践成功出来的项目是Uniswap。目前整个DeFi最重要的领域是DEX,而DEX中最流行的模式是AMM模式,也就是自动做市的模式,这个之前提到过很多次,可以参考蓝狐笔记之前的文章。
没有代币激励的Uniswap失去了一个引擎
昨天Sushiswap的流动性迁移成功实现,成功撬动Uniswap超过70%以上的流动性,并成为如今流动性最好的DEX,其当前的流动性达到13.3亿美元,而它仅仅诞生才两周的时间,而Uniswap的流动性现在连Sushiswap的35%都不到。Uniswap在短短的两周内从流动性最好的DEX瞬间跌落到第二位。这就是加密世界的“权力的游戏”。


这些实践充分说明了Uniswap对代币经济体系的不够重视,对社区发展的不够重视,在Sushiswap大张旗鼓地进行“流动性迁移攻击”的两周时间内竟然没有做出任何应对措施。
Gemini:在Silvergate上没有存放GUSD和客户资金:金色财经报道,加密货币交易所Gemini在推特称,正在积极监控Silvergate Bank情况,但在该银行中没有存放任何GUSD和客户资金,此外该交易所已经停止通过ACH的客户存款/提款,Silvergate Bank向Gemini发起的资金兑换服务也已暂停。[2023/3/3 12:39:45]
这给其他的swap留下了很大的机会。这也说明了目前DeFi的DEX还处于早期阶段,并没有绝对的牢不可破的护城河。后来的各种Swap也有机会。甚至刚刚荣升DEX流动性第一位的Sushiswap的护城河也不是牢不可破的。因为其他的Swap可以使用类似的策略来对付SushiSwap,可以说,SushiSwap只是拉开了DEX大战的序幕。
要想在DEX上构筑护城河,需要最大限度地调动社区的力量,需要设计出一个兼顾短期快速起势和长期可持续发展的经济激励体系,缺一不可。后续我们会关注更多的各种swap。今天聊的是Miniswap在DEX方面的探索。
Miniswap的DEX探索
*Miniswap的初启动
作为AMM模式,Miniswap跟Uniswap的自动做市模式类似。目前看,Miniswap刚刚推出两天,有超过2000万美元的流动性,交易量超过200万美元。其中,流动性超过100万美元的代币池达到9个,主要代币池ETH/USDT,MINI/ETH,LINK/ETH,YAMv2/ETH等,有不错的冷启动。这意味着如果不是大规模兑换,这些代币对的交易滑点不会太高。
以太坊扩容解决方案Polygon集成Mina协议:金色财经报道,以太坊扩容解决方案Polygon宣布与轻量级智能合约平台Mina Protocol集成。与以太坊的300 GB区块链相比,Mina协议仅为几千字节。此次合作意味着开发人员现在可以使用Mina的递归zk-SNARK应用程序Snapp在Polygon上构建应用程序。[2021/9/10 23:13:51]


*Miniswap跟Uniswap有什么不同?
Miniswap跟Uniswap最大的不同之处在其代币激励机制。在Miniswap的生态中,有三个重要的参与者。一是流动性提供者,二是交易者,三是代币持有者。这三者在Miniswap中都有利益的激励。
首先来看看,Miniswap在对待流动性提供者跟Uniswap有什么不同?
波卡周报:Statemine已添加NFT和asset资产模块,目前仅可通过Sudo调用:根据PolkaWorld最新发布的波卡周报,本周重要事件包括:
1. 6月2日,Westend上的Shell平行链runtime升级到Westmint(Statemint的Westend版本);
2. 6月3日,Kusama理事会投票两次,第一次将shell的存储改为statemine的创世状态,第二次投票为shell升级了statemine逻辑,之后通过技术委员会加速并进入公投;
3. 6月4日凌晨00:30,Kusama网络在经过两次理事会+技术委员会+社区公投之后,平行链Shell升级为Statemine平行链。这意味着Kusama网络正式上线了公益平行链Statemine,并且通过治理的方式为Statemine分配了免费的插槽;
4. Statemine的NFT和asset模块已经开发完善,目前还没有对外开放资产接口,只能通过Sudo调用,下一步将通过Kusama理事会和公投开启资产发行功能;
5. 6月5日,Kusama理事会投票通过了Motion 306,将Kusama的Runtime升级到v9040,以添加2个在Kusama-Statemine上的转账方式,接下来会开启公投。[2021/6/6 23:16:08]
-Miniswap上的流动性提供者激励
CryptoQuant:1.8万枚比特币是从BlockFi到Gemini的“外部转移”:3月16日消息,对于Glassnode“Gemini内部转移1.8万枚比特币”的说法,CryptoQuant认为,从技术上讲,这是从BlockFi到Gemini的“外部转移”。尽管BlockFi使用Gemini的托管钱包,但是把它们集合成单个实体并不是正确的方法,因为BlockFi中的资金流和Gemini中的资金流具有不同的模式。CryptoQuant将在短期内提供BlockFi的流出/流入情况。[2021/3/16 18:50:27]
跟Uniswap类似,流动性提供者需要向代币池存入两种代币,比如ETH/SUSHI。当用户存入10ETH,那么按照当前的价格,用户需要同时存入1190.66个寿司。
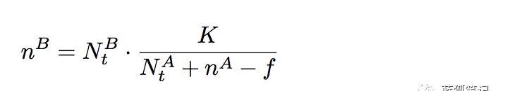
当代币池中有两种代币之后,交易者就可以进行兑换。比如用户使用A代币兑换B代币,其中,f为交易手续费,N^A为交易者试图购买代币的数量,N^B为交易者获得的代币数量。
那么交易者会获得按如下公式得出的代币B数量:

动态 | 日本千叶商科学院引进Minnano电力可再生能源匹配服务 该服务应用NEM公链进行电力跟踪:据Crypto Watch消息,日本千叶商科学院7月31日宣布,将引进Minnano电力提供的可再生能源电力匹配服务ENECTION。即在8月1日以后将市川校区内使用的电力将依次转换成再生能源。Minnano电力的ENECTION是一种可再生电力匹配服务,应用NEM公链实现低成本且精准的电力跟踪。只要对30分钟的电力进行匹配,就能证明“从哪个电源买到多少电“。[2019/8/2]
MiniSwap跟Uniswap最大的不同是它为流动性提供者提供了代币MINI的激励。目前每天有上限为50万的MINI代币供流动性提供者挖矿,按照目前的MINI市场价格,目前每天有?万美元可以供流动性提供者捕获。
此外,Miniswap流动性提供者也可以捕获交易费用,其交易费用根据用户为流动性池提供的比例大小而定。
-对交易者的激励
在DEX的生态中,除了流动性提供者之外,交易者也是生态的重要参与者。为了形成正向循环,Miniswap也引入了交易者激励机制。这是Uniswap还没有的。
具体来说,交易者在Miniswap上进行交易后,需要支付一定比例的手续费。不过根据用户手续费的规模,Miniswap会返还用户MINI代币。也就是说,在Miniswap上,不仅流动性提供者有挖矿收益,作为交易者也有挖矿收益。
这一点在项目早期利于吸引足够的流动性,对形成交易正向循环很重要。只有流动性提供者,没有交易者就无法产生协议的费用和收益。通过为早期交易者提供代币激励,可以在一定程度上解决交易者冷启动的问题。
目前Miniswap每天的交易挖矿收益跟每天的流动性提供者的挖矿收益激励量级一致,都是50万个MINI代币上限。也就是按照当前价格,每天大约有?万美元的代币奖励上限。
-对代币持有人的激励
除了流动性提供者和交易者之外,代币持有人也可以跟协议长远利益保持一致。所有MINI代币持有人都可以获得不定期的分红。这也是跟Uniswap最大的不同之一。在Uniswap上,流动性提供者更像是雇佣军,当用户提供完流动性,获得费用收益之后,一旦退出流动性,就跟协议再也没有什么关系了。也就是说,协议的长远利益跟流动性提供者本身关系不大,但是,有了协议代币的激励,流动性提供者有机会捕获协议的长远收益。这个收益表现之一,一是代币价值随着交易规模上涨而增加,二是还可以获得额外的分红。
目前Miniswap的分红方式是,Miniswap合约会扫描以太坊链上各个钱包中MINI代币数量,同时根据用户钱包中MINI代币的数量在流通MINI代币中的比例,进行不定期的分红发放。
那么,分红的资金从何而来?
首先Miniswap交易中可以产生0.3%的手续费,其中手续费会用于买入MINI代币。这些买入的MINI代币中,其中的50%?用于返还给MINI代币持有人,这也就是分红的来源。剩余的50%MINI代币则被销毁。由于MIN总供应量为10亿,也就是说MINI还是通缩的代币。
MINI的价值捕获
MINI的价值最终主要取决于其平台的手续费用。而手续费用主要取决于协议的交易量规模。交易量越大,手续费就越多。手续费用越多,对MINI形成的买入就越大,从而对其价值产生支撑的作用。
为了推动其交易规模的上涨,一是要有更好的用户体验,尤其是在交易滑点方面,要想有低的交易滑点,需要流动性提供者提供更多的流动性。而有了更低的交易滑点,交易者也更愿意在Miniswap上交易。此外,引导交易量上涨最关键的满足用户的代币交易需求。一些高质量的代币如果能够最早挖掘并上线,也有机会推动交易规模的上涨。
最终来说,Miniswap能达到多高的高度,主要取决于交易者、流动性提供者以及持币者的积极参与的深度。
Miniswap与分布式金融
Miniswap目前是DEX为主,从它的路线图看,它还试图支持各种去中心化金融产品。后续有计划引入美式期权、美式期权保险产品,最后还有跨链DEX交易。
未来当用户在Miniswap上购买一定数量的期权权益之后,系统会根据行情来确定用户的盈利或亏损。期权产品可以让用户在不迟于约定时间以预先确定的价格购买或出售资产。预先确定的价格为行权价格,约定的时间为行权周期。而期权还有期权价格,期权价格是行权价格和现行价格的差异。看涨期权,其价值主要看基础价格减去行权价格的价值。看跌期权的价值则通过行权价格减去基础价格而来。此外,当用户购买期权时,还可以选择购买期权保险。在某些情况下,当用户购买期权产生亏损,期权保险可以给予用户一定数量的赔付。
最后,Miniswap计划在其产品成熟之后,进行跨链的交易,引入Cosmos和原子兑换协议等技术,以实现跨链的点对点交易。
DEX世界的“权力游戏”
Sushiswap对Uniswap为期两周的“流动性撬动”之战初步取得成功。这一实践说明,DEX的格局还远远没有到终局。
接下来,Uniswap可能会反击,比如推出更好的产品,推出代币的激励机制。其他各种swap也会逐步引起大家注意,在这个过程中,一定会存在流动性挖矿的争夺战,谁能在流动性挖矿过程中有更好的机制设计,更好的可持续收益,那么,最终来说,谁就有可能在DEX争夺中取得领先的位置。
另外一个层面,由于最终各种DEX之间也存在一定的均势,不可能只剩下一两家DEX。因为不同的Swap都有自己的收益点,都有自己的根据地,在某些点上有自己的优势。
不过,虽然DEX有可能会分散,但最终来说,会有几家聚集最大的流动性和交易量,这是跟DEX自身的价值捕获模式相关的。DEX不管发行多少代币,怎么分配代币,是分给机构,还是分给社区,其价值都根源于交易规模,交易规模越大,捕获的费用越多。当捕获的费用越多,最终会传导到代币的价值上。谁率先形成可持续的正向循环,谁将取得真正的领先。
如何形成正向循环?一开始要有足够的收益吸引力,给予流动性提供者和交易者一定的代币激励,而代币本身的价格在冷启动过程中也扮演重要角色,它会刺激更大的流动性提供者和交易者参与进来,从而推动短期势能的发展。
这里特别需要注意是,在DEX之战中,一定要快速迭代,要采用长短结合的激励措施,不仅要有长期的可持续发展激励,也要有短期内快速拉升的激励措施。一旦DEX的势能起来,就有天然的推动力。此外,由于市场变化太快,随时要迭代机制,跟社区一起,快速推进,这些都是如今DEX之战给项目方和社区的重大启示。
DEX之战远未结束,期待Miniswap,还有其他的各种Swap一起,探索出DEX的可持续发展之路!
标签:MINSWAPMINIMiniSwapMinty ArtMjackSwapgemini泰星资料miniswap币最新消息
据路透社报道,德国财政部长OlafScholz周四承诺,将加快欧元区金融改革,以监管加密资产和深化资本市场,他表示,这可能有助于加快新冠疫情下的经济复苏.
1900/1/1 0:00:00在YAM分叉AMPL,并采用流动性挖矿的机制之后,整个DeFi领域突然冒出大量的分叉和流行性挖矿的项目,几乎每天都有新项目出现。而Sushiswap分叉Uniswap,则将这一现象推上新的层面.
1900/1/1 0:00:00来源:新浪财经中国北京国际科技产业博览会迄今已连续举办二十二届,是每年定期在北京举办的国家级高新技术产业国际交流与合作的国际盛会.
1900/1/1 0:00:00来源:链新全国金融标准化技术委员会官网披露的信息显示,2020年6月22日至7月3日,国际电信联盟电信标准化部门第十六研究组全会在线上召开.
1900/1/1 0:00:00幸好Uniswap已经宣布在开发V3版本的协议,HaydenAdams公开表示过,下一版将解决目前AMM遇到的所有问题.
1900/1/1 0:00:00译者:洁sir在去中心化金融(DeFi)的世界中,去中心化交易所(DEX)为最重要且最核心的一环.
1900/1/1 0:00:00