前言
目前,使用LPToken进行抵押借贷的需求越来越大,但是目前市面上并没有一种完善的用于安全获取LPToken价格的方法。慢雾安全团队在分析LPToken价格的获取方式的过程中关注到了AlphaFinance团队的关于安全获取LP价格的方法。在仔细阅读后,将相关的思考分享给大家。
LPToken价格获取分析
目前,常见的LPToken价格的获取方式如下:

其中,r0,r1分别代表Uniswap交易对中两种代币的存量,price0,price1分别代表r0和r1对应代币的价格。上面的公式简单来说就是算出交易对中两种代币的总价值之和,然后除以LPToken的总数量,得到了单份LP的价值。
这个公式咋一看没什么问题,一般来说,price0和price1都会取Uniswap本身提供的延时价格。但是这里存在一个被闪电贷攻击的风险。虽然price0和price1是不能操控的,但是r0和r1却是可以操控的。通过操控r0和r1的值,即可对整个公式进行操控,具体可参考慢雾文章《采用延时喂价还被黑?WarpFinance被黑详解》
灰度:DeFi是一种新兴的加密货币创新,它超越了银行:金色财经报道,灰度发布《灰度DeFi入门》报告,报告指出,去中心化金融(DeFi)是一种新兴的加密货币创新,它超越了银行,超越了边界,创造了一个新的互联网原生全球金融生态系统。DeFi已经开始重塑全球金融和电子商务。数字货币,云经济平台,和金融生态系统是到目前为止最引人注目的阶段。比特币的区块链实现了可信的价值交换;以太坊的计算机实现了数字商业的法律协议;DeFi的开放API实现了一个全球银行生态系统。每一个都提供了一个建筑块,以实现一个更强大的以互联网为基础的全球社会。从历史上看,随着加密货币经济的扩张,最近的一波增长最为迅速。DeFi也遵循这一趋势。[2021/12/30 8:13:35]
那么有没有办法能获取一种安全的LPToken价格,使代币的存量无法被操控呢?AlphaFinance团队提供了一个思路:

中银香港首席经济学家鄂志寰:数字货币也是一种特殊的美元替代选择:由中国人民大学财政金融学院主办、中国人民大学国际货币研究所(IMI)承办的“2021国际货币论坛”于7月24日(周六)在北京举行,中银香港首席经济学家鄂志寰参会并称,疫情之后国际货币竞争呈现新格局,新兴市场以及一些不发达经济体加速推进去美元化进程,希望寻求美元的替代。数字货币也是一种特殊的美元替代选择。过去10年人民币国际化是央行的政策驱动和在岸及离岸市场相互配合的结果。(新浪)[2021/7/25 1:13:46]
根据AlphaFinance的分析,整个过程分为3步:
第1步是通过Uniswap的getReserves接口获得交易对中对应代币的数量,算出K
第2步是获取交易对中每个代币对应的价格,然后算出代币的价格的比例P
第3步是通过K和P之间的关系反推真实的代币存量。
完成以上3步后,最终LPToken的价格获取公式会变成下面这个样子:

滴滴公开一种“用于仲裁区块链中数据真实性的方法和系统”的专利:3月9日消息,天眼查显示,3月9日,滴滴关联公司北京嘀嘀无限科技发展有限公司公开一项“用于仲裁区块链中数据真实性的方法和系统”的专利,公开号为CN111201751B,申请日期为2018年9月26日。
其中,该专利摘要显示是一种用于仲裁区块链中的数据真实性的方法和网络节点。所述方法包括:通过仲裁网络节点接收用于仲裁数据真实性的请求,其中所述仲裁网络节点是区块链中多个网络节点之一;以及通过所述仲裁网络节点基于所述仲裁事件中包含的信息处理所述仲裁事件,生成仲裁网络节点的仲裁结果,并将所述仲裁结果提供给区块链等。 ?
?[2021/3/9 18:27:40]
这一波操作下来,好像有点整懵了,但是问题不大,我们来逐个分析。
首先,我们知道,Uniswap采用的是恒定乘积算法。简单来说就是x*y=K,也就是说,交易前后的K值是不会变的。在不讨论手续费的情况下,K值理论上是不会改变的。我们先记住这个前提。然后,获取交易对中每个代币各自的价格,比方说对USDT价格。这里以ETH-BTC交易对为例,假设ETH的价格为650USDT,BTC的价格为22,000USDT,那么ETH/BTC的价格比值P为0.03。在得到价格的比值P之后,直接用第1步得到的K计算K/P和K*P就得到了对应交易对的一个正常的数量。下面要对第3步,即获取正常的数量这一步进行相应的说明。
蚂蚁集团董事长井贤栋:区块链对我们来说是一种信仰:8月6日下午两点,蚂蚁链、罗汉堂、新浪财经共同策划的《寻找区块链力量》系列访谈第一集正式开播,中国证监会科技监管局局长姚前、蚂蚁集团董事长井贤栋共话区块链如何赋能信任。井贤栋表示,区块链对我们来说是一种信仰,这种信仰可分为两种理解方式:一是对数字经济的信仰,未来已来,数字经济已成为经济增长的新引擎;二是对经济发展规律的信仰,在数字经济时代,数据是生产资料,云+AI是生产力,而区块链技术是生产关系,新型生产关系是信任生产关系,所以我们认为,区块链是信任新基建。[2020/8/6]
公式思路解释
现在开始对上面的第3步进行说明,扶稳坐好:D
像前面说的,恒定乘积的公式为:

那么其实可以根据K来分别算出x,y。然后根据上一节的第2步,我们得到了x和y的价格的比值P。由于Uniswap本身是根据池中代币的比例来确定对应的价格,所以比值P本身就是x/y的价格的比值。然后,由于K=x*y,而P是由正确的价格算出的比值,那么,我们其实就可以以这个真实的K和x/y来反推真实的x和y。
摩根溪创始人:ETH与法定货币性质及波动性存在相似,不是一种可行货币形式:摩根溪创始人Anthony Pompliano日前在博客文章中抨击了“ETH就是金钱”的说法,称这种说法的逻辑“从根本上存在缺陷”。 Pompliano直言不讳地说 “以太和法定货币没有什么区别”。他引用了资产缺乏固定供给,通货膨胀供给计划,以及在货币政策方面的集中决策小组。Pompliano解释说,这是法定货币的特征。Pompliano进一步解释称:“Ethereum的结构与我们当前的法定货币政策相似,决策者可以增加或减少流入系统的新货币的产量。” 因以太坊与法定货币性质及波动性的相似性,Anthony Pompliano得出结论,以太坊不是一种可行的货币形式。他表示:“(未来的去中心化金融)将只使用稳定币或比特币作为兼容货币,而不是依赖以太坊复制当前法定货币存在的许多缺陷。”(Cryptoslate)[2020/3/3]
推算如下:
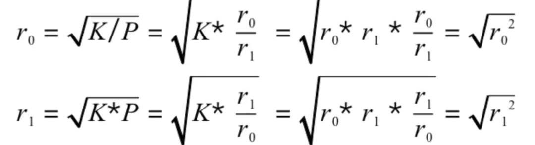
首先,我们根据P和r0,r1的比例得出以下公式:

接着,根据P就可以倒推真实的r0,r1,如下:

那么,拿到了正确比例的x和y之后,LP的价格会是下面这个公式:

再转换成如下:

攻击的可能性
在完成公式分析后,我们不难知道,只要有正确的价格的比例P,就能根据这个比例倒推真实的r0和r1,最后得到公式:

那么,这个公式能不能被攻击呢?从公式上可以知道,公式的price0,price1都是可信源获取的正确的价格,这个值是无法被操控的,然后是totalSupply,这个值虽然可以操控,但是在控制LP价格进行攻击的过程中改变totalSupply只能是改变你的抵押数量,这个暂时没有用。那么剩下可以操控的只有r0和r1的值了。如何改变r0,r1的值呢?下面提供两种思路进行分析:
思路一:直接进行代币兑换
我们知道,在代币池中,无论是采用什么算法进行计算,代币池在进行代币兑换的过程中,必然会发生代币数量的改变,那么这种改变最终能不能操控公式呢?其实是不可以的。我们知道,在恒定乘积的模型中,x*y=K总是成立的,那么也就是说无论交易过程中怎么发生代币的兑换,K的值总是不变的(这里不考虑手续费的情况),而公式中采用的是r0和r1进行相乘,所以使用代币兑换来操控公式实际上是不可行的。
思路二:将代币直接打入到代币池中
这种思路比较粗暴,可以直接忽视K值来操控r0和r1相乘的值,但是经过我的运算,这种方法看似可行,其实是不行的。虽然达到了操控的目的,但是因为公式本身在获取最终价格的时候采用的是根号的模式,所以最后获得的收益是根号后的收益,比方说付出10,000的成本,最后只能获得最多100的收益,这样是明显不划算的。所以这种思路也是不可行的。
适用范围
本算法的适用范围仅限于适用AMM模型的代币池的LP价格的获取,因为整个推导过程都基于恒定乘积公式中K的基本特性来进行。获取的LP本身所属的交易对算法不使用AMM模型是不可行的,因为这种情况下,前面所有的假设都已经不成立了,那么对应的公式的推算自然也是不成立的。
总结
LP抵押已经成为了一种迫切的需求,在目前没有更好的方式(如ChainLink提供的LP喂价,Uniswap提供延时LP接口等),AlphaFinance的方式可以说是一种较为安全的实现方法,使针对数量进行控制的攻击变成不可行或成本非常高。当然,随着越来越多场景的出现,这种算法也不一定是万能的,项目方需要结合自身的场景,合理运用该算法,达到良好的效果。此外,特别需要注意的是,虽然公式的终极形式用的是开根号的r0,r1和price0,price1相乘,但是真正实现的时候,需要根据K来推导具体的r0和r1的值,不然会存在一定的误差。
参考链接:
AlphaFinance关于获取公平?LP价格的方法
谷燕西:简评雷伊·达里奥的比特币研究谷燕西刚刚12雷伊·达里奥最近发表了一篇研究“我如何看待比特币?”。他在这篇研究中表达了他对比特币的分析和观点.
1900/1/1 0:00:00消息面:1.富达数字资产的总裁在CNBC采访中表示,他们合作的机构客户,一直是比特币最稳定的买方,他们持续看到机构对于比特币敞口的强烈需求.
1900/1/1 0:00:00这篇文章尝试从DeFi的角度理解2020-2021的行情变化,提供一种新的视角。2020年初到现在,我们所生活的世界发生了很多大事,疫情导致全球经济萎靡.
1900/1/1 0:00:00吴说作者|miaohash本期编辑|ColinWu随着加密货币牛市的加速,在美股上市的比特币矿业股也陷入了疯狂,典型的三大标的RIOT、BTBT和MARA均上涨10倍以上.
1900/1/1 0:00:001.BTC真实分布情况最近一份由彭博社发布的报告指出,“2%的账户控制了95%的BTC”。Bitinfocharts数据显示了BTC在所有地址之间类似的分布情况.
1900/1/1 0:00:00北京时间2月2日,以太坊突破1500美金,最高达到1541美金,30天内涨幅已接近100%。此前吴说区块链就根据数据分析认为,以太坊破新高有四个原因,而利好仍未出尽.
1900/1/1 0:00:00