在传统金融市场上,每种证券都需要一个买方和卖方市场才能有效地进行交易。如今,股票交易的速度和简便性被视为理所当然,尤其是在新引入的Robinhood投资模式下。在这个新时代,做市商扮演着举足轻重的角色,为市场参与者创造了无缝的交易体验。在过去的一年里,做市商这个角色以名为自动化做市商的算法代理的形式移植到加密生态系统中。
AMMs执行的功能与传统做市商相同,促进两种数字资产之间的交易。然而,在智能合约里不是由大银行或交易公司来做市,而是通过算法做市。与传统的做市商依靠大量资源提供严格的买卖价差不同,AMMs重新定义了提供流动性的方式,并应用数学公式来决定资产交易的价格。
恒定函数做市商
恒定函数做市商是最流行的AMM系列。当交易者希望将代币A换成代币B时,这种AMM会使用恒定函数作为其定价机制。在这种情况下,术语"恒定函数"指的是资产储备的乘积必须在发生任意交易时都保持不变。
自2017年以来,针对不同使用案例的优化,一些DEX已经把这个恒定函数进行了修改。下面将介绍一些最流行的DEX,并详细介绍其采用的恒定函数。
Uniswap
Uniswap是第一个让使用恒定函数变得流行的DEX。它使用了一种被称为"恒定乘积AMM"的AMM变体,它强制要求两种资产储备量的乘积必须始终保持不变。

Avalanche链上DeFi锁仓量达130亿美元,创历史新高:11月25日消息,据DeFi LIama数据显示,Avalanche(雪崩协议)链上DeFi锁仓量达120.16亿美元,创历史新高。目前Avalanche上锁仓占比最高的协议为Aave,份额达27.45%。[2021/11/25 7:10:25]
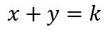
在这个等式中,x和y代表流动性池中两种资产的单位数量。举例说明,假设ETH/DAI池包含100ETH和10,000DAI。在这个例子中,Uniswap将这两个数量相乘,得到k的值为1,000,000。现在的目标是保持k值恒定,而不考虑对流动性池的交易量。做到这一点的唯一方法是,x和y的数量反向变化。换句话说,当x的数量增加时,y的数量必须减少。最终,任何给定交易所的报价都是常量乘积公式和池中代币比例的函数。
需要注意的是,x和y之间的关系不是线性的。用10个ETH兑换1000个DAI不等于用20个ETH兑换2000个DAI。相反,这种关系是渐近式的。这意味着随着花费的代币数量增加,收到的代币数量会变小。

MXC抹茶上线首期合约“一池双挖”DeFi超级矿工计划,同时可挖WOO、RAK:据官方公告,10月30日00:00-11月1日24:00,MXC抹茶推出首期合约“一池双挖”DeFi超级矿工计划。首期合约挖矿资产无需质押锁仓,并采取“一池双挖”出矿方式,挖矿期间用户合约账户持有3000USDT且交易BTCUSDT不低于2000张,即可根据合约账户资产占比,同时挖矿产出WOO、RAK 。其中,WOO挖矿总额度12万枚,每日挖矿额度4万枚 ;RAK 挖矿总额度 27枚,每日挖矿额度9枚 。可通过原文链接报名参与。除挖矿收益外,报名成功即可领取USDT赠金;挖矿期间BTCUSDT合约手续费将以赠金形式返还50%;充值可得最高100USDT赠金奖励。[2020/10/29]
恒定乘积函数的特性对AMMs很有用,因为它确保了当任何一种资产的价格接近无穷大时,总会有流动性。
Balancer
Balancer的AMM一般化了Uniswap的恒定乘积功能,创造了一个被称为"恒定平均AMM"的变体。这个AMM的核心是价值函数,它强制规定资产池中的资产余额的权重次幂的乘积应始终保持不变。

锁定在DeFi中的比特币数量创历史新高:金色财经报道,锁定在DeFi中的比特币数量创下历史新高,6月3日该数字跃升至4040枚左右,比一个月前的2230枚左右增加了一倍。与此同时,被锁定在DeFi中的ETH数量仍相对较少。然而,锁定的总价值出现了上升,这一发展与ETH在更大的市场中的积极动向相吻合。上个月,在Maker治理机构投票决定将WBTC作为抵押品后,被锁定在DeFi中的比特币数量激增。此后,WBTC中锁定的BTC总价值也大幅上升,特别是在6月2日创下3900万美元的新高。目前锁定在以太坊区块链中的WBTC为3700万美元,而闪电网络中仅有890万美元。这表明了一个事实,即大量的比特币流动性目前正在流入ETH区块链。此外,锁定在“WBTC”中的BTC总量也达到了3910的新高,这是积极的发展,意味着流通中的比特币数量减少了。[2020/6/4]
在这个公式中,t代表池中的资产的种类数,Bt是资产数量,Wt是资产权重。虽然与Uniswap简单易懂的常量乘积函数相比,数学公式看起来要复杂得多,但其实很容易理解。例如,假设用户创建了一个BalancerPool,其中包含三种资产:100ETH、100BTC和100,000DAI,每种资产的权重为33.3%。Balancer对这些数值进行如下处理:

初夏虎:本轮经济危机催生DeFi新浪潮 元界DNA今年将趁势崛起:据官方消息,499Block两周年生日嘉年华“全球热链,相守年年”于5月20日举行,跨境AMA接龙+当红天团主播视频直播串烧,共享流量庆典。元界DNA创始人初夏虎、币安联合创始人何一、TRON 创始人孙宇晨等海内外数十位区块链领军人物出席。
初夏虎表示:“本轮的全球经济危机将催生DeFi新浪潮,元界DNA今年将抓住这个机会。元界DNA要做的就是开发各种功能工具,让更多的应用能上链,这样可以带动更多终端用户参与进来。”[2020/5/21]
类似于Uniswap,目标是在保持资产权重不变的情况下,只改变资产余额,从而保持k不变。在3种资产BalancerPool的情况下,交易可以发生在三个资产中的任意两个之间。用户可以用ETH交换DAI,用ETH交换BTC,或者用DAI交换ETH。通过保持k的值不变,可以在三种资产之间生成一个价值面。

有趣的是,这个曲面与Uniswap的常量乘积函数并没有太大区别。另一种思考方式是将图1中的恒积函数,额外增加一个代表池中第三个代币的轴。通过改变图2的角度,两个函数之间的相似性变得更加明显。
声音 | Zcash开发公司ECC高管:现在的目标是让Zcash变成一个人们可以构建“用于所有DeFi应用程序”的平台:Zcash开发公司Electric Coin Company(ECC)的营销和业务发展副总裁Josh SwihartSwihart表示,现在的目标是将Zcash变成一个人们可以构建“用于所有DeFi应用程序”的平台,并补充说:“如果要贷款,如果要进行DAO(去中心化自治组织),那么所有这些工作也可以使用zcash完成。 …最终,我们希望zcash shielded[地址]可在以太坊智能合约中使用。”[2019/10/13]

由于Balancer池被设计成有2到8种资产,任意两个代币之间的交易价格报价就比较复杂了。池中的每一对代币都有一个价格,这个价格取决于该特定代币的余额B和权重W。从形式上看,交易执行的价格是按照代币余额与代币权重的比值来计算的。

在上面的公式中,代币A代表被卖出的代币而代币B是被买入的代币。如果池子的持有者不改变资产储备,很容易看出价格的变化完全基于交易,因为资产权重必须始终保持不变。这种机制与图2所示的恒定面相结合,可以保证买入资产的价格上升,而卖出资产的价格下降。在与Uniswap相同的情况下,套利机会保证了BalancerPools提供的价格与市场其他部分同步变动。
Curve
Curve是一个交易所流动性池,预期价格稳定的资产之间可以在该池里进行高效交易)。Uniswap和Balancer主要是针对波动和价格不稳定的代币的交易。然而,当处理那些想要互相保持稳定的资产之间的交易时,低价格滑点是最重要的。之前迭代的各种AMMs固有曲率就有问题了,因为交易规模越大,滑点就越大。
解决价格滑点问题的一个方法是,使用常数和函数作为AMM的内部交易机制。当使用两种资产进行操作时,恒和做市商强制规定资产数量之和必须保持不变,并遵循以下函数:

如图,一个双资产恒和做市商是一条简单的直线。

虽然这个函数的简单性实现了低滑点,但它缺乏恒定产品做市商的关键属性,即当任何一种资产从池子中流出时,池子总还会有流动性,而另一种资产的数量趋于无穷大。
为了解决这些问题,Curve通过结合恒定总和和恒定乘积函数创造了一种混合AMM:在曲线的平衡点附近创建一条相对平坦的曲线,类似于恒定总和函数,以保持价格相对稳定,同时使两端更加倾斜,类似于恒定乘积函数,因此在曲线的每个点都有流动性。在双资产的情况下,最终的结果是下面的复杂函数。

除了复杂的数学之外,请注意两个常数函数是如何嵌入方程中的。左边是常数和,右手边是常数积。此外,公式中还包含了一些其他的项来达到预期的目的。在公式中,n代表资产数量,A是一个"放大系数"参数,它决定了函数与常积函数的相似程度。A的值越低,Curve的函数就越接近Uniswap的函数。
就像之前的CFMMs一样,我们的目标是在x和y之间发生交换时保持k的值不变。绘制该函数会像这样:

来源:Curve白皮书
从图5中可以看出,Curve的函数在中间表现为恒定加和函数,但随着x和y的值的变大,则变为恒定乘积函数。这种形状使曲线中间段的价格保持稳定,同时又能在两端提供流动性。
结论
在过去的几年里,AMMs通过以去中心化的、全球可访问的和非托管的方式汇聚和提供流动性,它已经成为DeFi的重要组成部分。具体而言,Uniswap、Balancer和Curve等CFMMs获得了巨大的增长和应用,交易量超过数十亿美元。
自2017年以来,这些去中心化的交易所已经开发了恒定函数的各种变体,以解决特定的交易所问题。随着该领域继续扩大,涵盖各种资产,为使交易更高效,交易所必须对底层功能进行大量思考。虽然这项技术仍处于早期阶段,但它已经带出了新的研究领域,更多的AMM设计将会出现,最终为所有DeFi用户提供更好的流动性。
根据Debank.com,目前去中心化借贷市场已经达到100亿美元的规模,以Compound、AAVE等为主的借贷平台平台承载着数十美元的借贷.
1900/1/1 0:00:00作为市值最大的加密货币,比特币作为交易媒介的有效性仍有争议。与本质上无限供应、必须由央行管理的法币不同,比特币与黄金类似,它是一种有限供应量为2100万枚的大宗商品货币.
1900/1/1 0:00:00据DeBank数据显示,当前DeFi市场的真实锁仓量已经达到了450亿,在经历了被很多人视为泡沫的那个夏天后,DeFi市场整体始终在不断地扩展发展.
1900/1/1 0:00:00据TheBlock3月10日报道,加密支付项目MobileCoin在Signal创始人MoxieMarlinspike的指导下,已完成A轮融资,并筹集了1,135万美元.
1900/1/1 0:00:00据DeBank数据显示,当前DeFi市场的真实锁仓量已经达到了450亿,在经历了被很多人视为泡沫的那个夏天后,DeFi市场整体始终在不断地扩展发展.
1900/1/1 0:00:00今天权益证明机制迎来了一个重大的变革,一份Github被提交到由信标链驱动的PoS共识。随着越来越多的艺术家和创作者使用以太坊来创建NFT,一个五年来被反复讨论的问题又再次被提起:以太坊什么时候.
1900/1/1 0:00:00