整理 | NESTFANS.ZHIYU
出品?| NEST爱好者(nestfans.com)已获各链接原作者同意
引言:NEST Protocol 是一个去中心化的预言机网络,即将转型成为一个非合作博弈系统,为区块链世界通过非合作博弈的方式提供无需许可,可被任何人验证的价格信息流。基于这一价格信息流,可以开发很多有价值的金融产品。可计算金融 CoFiX ,便是基于 NEST Protocol 的第一款金融产品。
CoFiX 简介
CoFiX 由?Coinbase Ventures 、Huobi DeFi Labs、Dragonfly Capital 和 众多天使投资人投资,开发团队包括?AlphaWallet 、安比实验室、白皮书作者博弈论研究专家 Zaugust?等。
自 2020 年 10 月份上线以来,初始 LP 便达到过亿美金的体量,CoFiX 协议收益累计达6000?多枚 ETH ,分配给所有持有 CoFi Token 的锁仓爱好者 20% ,现仍有?5000?多枚 ETH ,存放在收益池。
具体发展过程事件请看《CoFiX 回顾与展望 V2.0即将登场》。
CoFiX 1.0 被定义为可计算金融,即一个可以利用 NEST Protocol 提供的链上价格信息流,对风险管理进行计算,实现有效对冲的DeX,具体可看《CoFiX 白皮书》:https://mp.weixin.qq.com/s/pptkhlldqYe2iwZcpuQ9qQ
CoFiX 2.0 系统性升级
Genesis指控Roger Ver应赔偿2090万美元:金色财经报道,上周申请破产保护的加密贷款机构 Genesis Global Capital 的一个部门声称,长期的区块链行业资深人士和比特币现金 ( BCH ) 支持者 Roger Ver未能结算加密货币期权交易。GGC 国际有限公司对 Ver 的指控包含在 1 月 23 日提交给纽约县法院的一份文件中。
根据 Genesis网站,GGC International Limited 是一家英属维尔京群岛公司,由 Genesis Global Capital 全资拥有,从事现货交易活动并通过数字资产衍生品对冲风险敞口。根据备案文件,GGC 寻求“因被告未能结算 2022 年 12 月 30 日到期的加密货币期权交易而造成的金钱损失,金额将在审判中确定,但不少于 2090 万美元。”[2023/1/25 11:28:57]
发展过程和实践过程是缓慢和困难的,在延续 CoFiX 1.0 理念的基础上,通过对各类交易模型以及智能合约开发的深入研究,我们看到 CoFiX 2.0 做出了重大调整,在提炼真实需求、提高资金利用率、提升 CoFi Token 价值捕获能力等方面持续深耕,下面请看 CoFiX 2.0 协议升级文档。
MEDIUM 英文原文链接:https://medium.com/cofix/cofix-v2-0-upgrade-document-5c8972919baa
CoFiX2.0协议升级文档
关于对冲
CoFiX 1.0 要求 LP 进行完美对冲的处理,这里存在几个问题:首先是大部分 LP 不清楚如何对冲,或者做不到自动对冲,其次是对冲依然存在一定的成本,比如 0.002 的手续费等等,而且对冲需要额外准备一定的资产在交易所或对冲渠道内。这对 LP 提出了一定的挑战,在市场不那么有效的情况下,对冲的隐性成本不低。因此我们 2.0 拟引入套利对冲的思路。
Lukka聘请前Genesis销售主管担任机构销售主管:金色财经报道,加密数据服务Lukka已聘请前Genesis销售主管Dan Torrey担任其机构销售主管。[2021/2/3 18:44:07]
套利对冲
套利对冲要求交易对的资产比例保持恒定,比如交易对 ETH/USDT 初始资产比例为 1:500 即1 ETH = 500 USDT,并要求整个池子在运作的过程中一直保持这一比例(做市商加入的时候需要按照初始比例打入双向资产),一旦交易者破坏了这个比例,则给与反向交易到初始比例的交易者一定的激励,且该激励随着时间推移不断加强,直到这些交易者能够覆盖对冲成本为止。交易者这一操作叫做套利对冲。
对冲挖矿算法
对冲挖矿算法和 CoFix 1.0 相比,差异在于不再针对每一笔交易进行挖矿奖励,而是对套利对冲行为进行激励,激励的算法如下:
定义:第 t 次交易后池子内 ETH 数量为
   
, ?USDT 数量为
   
?, 第 t 次交易的价格为
   
?,即以USDT 计算的 ETH 价格
Nest Labs负责人Tina:DeFi 2.0的显著特点是更加的去中心化:12月30日消息,金色财经年度巨献洞见财富密码2021投资策略会持续进行中,Nest Labs负责人TinaYZ《DeFi 2.0与预言机》的精华看点如下:
DeFi 2.0的显著特点是指其更加的去中心化,能够在链上完成逻辑闭环,包括价值捕获,其中最核心的是DeFi协议本身能够很好的进行风险管理和量化。所以NEST社区也提出了COFI概念,即可计算金融。
DeFi 2.0与价格预言机之间的亲密关系主要是指预言机作为DeFi基础设施的重要性。[2020/12/30 16:05:41]
1)?第 t 次交易后池子资产比例为:
   
其中:
   
?为池子资产初始比例。
2)交易挖矿公式
   
公式注释:
①?
   
?为 t 时刻总的交易出矿量,
动态 | Gopher授予Genesis无线电生成数字货币技术的独家许可:据investorideas消息,Gopher协议公司,一家专注物联网(IoT)和人工智能的移动技术公司,今天宣布与区块链公司Genesis达成协议,将其将基于GRC区块链的无线电生成数字货币专有技术授予后者,以整合到后者的基于区块链的业务线[2018/9/20]
   
?为 t 时刻单笔交易的出矿量。
②?
   
?为每一单位 ETH 标准出矿量为,当前
   
③?
   
?为 t 时刻?
   
?调整为?
   
分析 | Coinness分析:BTC突破100日均线后或出现修正回调:据Coinness作者List分析,今早开始的持续拉升已使BTC突破了100日均线($7610),若今日能收于该均线之上,将进一步确认涨势。接下来BTC会面临斐波那契50%($7872)的压力,突破后则有可能涨至$8372附近。但由于BTC持续贴近布林带上轨运行,且4小时图上MACD和RSI指标均出现背离,短期需要注意出现修正回调,只要不跌破斐波那契38.2%($7373)则继续看涨。BTC在Bitfinex现报7706美元,涨幅4.17%。[2018/7/23]
??时所需要的 ETH?交易规模,其公式为:
   
④?
   
? 为 t 和 t-1 笔交易的区块间隔。
⑤?
   
?为单笔交易的出矿系数, 其计算公式为:
   
交易出矿量的分配:
1)交易出矿量?
   
?的 10%?流向节点矿池。
2)90% 归该笔交易者。
做市出矿
1、池子 NEST/ETH ?每个区块出 3 个?CoFi;
2、ETH/USDT 出 1 个?CoFi
3、ETH/HBTC 出 1 个?CoFi
做市出矿量的 10% 流向 cn?节点,其他的分给做市商。
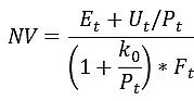
做市商份额计算和提取
做市商是按照初始比例?
   
??打入双边资产,因此份额计算比较简单,按照打入的
ETH计算即可。而每一份的净值,按照以下公式计算:
   
其中?
   
?为池子总份额,
   
?为未经过 K 值的 NEST 有效价格,提取资产按照?
   
?的比例返回双边资产,如果余额不够则返回最大可提取的份额。
DAO 的治理
DAO 治理主要是针对以下内容:
1.?代码修正和升级:
前期采用多签,后期逐渐转向投票,核心是投票的标准,目前 NEST 采用51%,及约定生效期(比如 5 天,详细可以参考 NEST 投票)投票方式和 NEST 投票一致。
2.?可挖矿资产的确定和分配:
这一部分是 DAO 最重要的部分,投票生效的标准
1)?确定挖矿的资产,其佣金进入分红合约,标准要完全明确,最好是链上可证,否则要求合约在挖矿和非挖矿之间切换足够流畅且无矛盾
2)?不挖矿的资产,佣金直接进入资产池(暂无自动对冲算法,未来可能增加折扣销售功能来自动对冲)
3)?投票比例需要认真设计,这块目前还没有完全确定
3.?DAO 账户的管理:回购(此次升级取消分红)
1)DAO 账户持有两种资产:CoFi 和 ETH
2)DAO 账户的功能
回购:任何人可以按照 NEST 预言机的?CoFi?价格,向 DAO 出售?COFI。
3)DAO 账户的执行
回购操作:任意?CoFi?持有人 A,可以按照以下规则将?CoFi?打到 DAO 账户并获得 ETH:
回购价格:NEST 预言机报价?CoFi
回购规模:每个区块释放?50 CoFi?回购额度,随区块累加,累计到 300 区块不再增加(需有人回购一部分后继续释放至最多 300 区块的总量)
回购约束:NEST 预言机里 CoFi?当前价格和均价相差超过 5% 时,不可以回购
回购后?CoFi?去向:暂存等待未来销毁
每次操作回购,会调用预言机数据,回购者需要支付调用费。
升级的安排
未来 CoFiX 的升级,希望能做到以下原则:
1.?资产池不变,避免取出重新存入这样的操作
2.?先部署,后触发
3.?社区有一个升级的流程,并经过了验证和训练
K值的计算
   
1、??
   
?为秒级波动率
2、?T 为时间延迟:T=(打包成功区块高度-最近有效NEST价格所在区块高度)* timespan
   
?的公式如下:
   
结语
CoFiX 2.0 的升级不仅对 DeX 赛道而言是一次创新突破,对于 NEST Protocol 非合作博弈系统来讲,更是在证明价格信息流的应用价值。去中心化协议的发展是艰难的,在秉承区块链本质发展的同时,要以客观、理性、发展的眼光看待事物,期待 CoFiX 2.0 。
在过去一两年来,作为新兴科技的区块链,不断涌现出的创新以及由此形成的财富效应被外界看见,然后我们看到传统金融和信息科技企业纷纷入场。区块链甚至被认为是通往Web 3.0的可靠路径.
1900/1/1 0:00:00你是否有过这样的经历,向某个流动性挖矿池中提供流动性,结果拿回来的时候,发现自己的币变少了?在本文中,我们将了解什么是“无常损失”,“永久损失”,以及它如何影响流动性提供者的利润.
1900/1/1 0:00:00去中心化金融(DeFi)在过去几个月中迅速崛起,DeFi市值目前约为500亿美元,层出不穷的产品协议着实成为近年来区块链技术众多创新之一,用户无需信任就可以借贷、交易和投资加密资产.
1900/1/1 0:00:0013万余人参与,3764人认购成功,19秒抢完。这是火币首轮IEO项目的抢购实况。年初,币安重启Launchpad众筹融资平台,在完成了BitTorrent和Fetch.AI两个项目的募资发行以.
1900/1/1 0:00:00一些天前我们注意到 IOTA 暂停了主网,虽然早前我们也知道 IOTA 用户遭遇了盗币攻击,但没想到 IOTA 官方会通过暂停主网方式来进行这次盗币攻击的阻拦与调查,看来问题很严重.
1900/1/1 0:00:002月9日Basis V2正式启动:从BAS V1向 BAS V2迁移开始。那么,BAS V2是如何进行迁移的,对现有的流动性提供者和BAS V1持有人有什么影响?迁移过程中BAS奖励变化首先,B.
1900/1/1 0:00:00