
1月15日比原链发布了《MOV稳定金融体系白皮书》,首创了三级清算体系并引入风险债券的清算方式、全天候风险度量体以及基于马尔科夫链的风险评级模型。与此同时团队还发起了《比原链MOV稳定金融体系白皮书解读》活动,得到了社区粉丝踊跃参加,本文由粉丝gentledog发布的文章整理而成。
MOV白皮书中提到基于四种因子C、R、P、T进行干预和宏观调控,分别代表抵押资产和信用、风险干涉、稳定币价格、稳定币流通量,并有公式CR=PT。这里C、P、T都容易理解并能够作量化,然而风险干涉R并不直观,白皮书中也没有给出明确的定义。我查阅了一些资料,也没有找到这个公式的出处,实在令人费解。这里我按照自己的理解,建立模型并给出了风险干涉R的量化标准,并试图解释该公式的合理性。
Brown运动
记
   
为Brown运动。记
   
为Brown运动首次击中
   
的时刻,即
   
一组独立的Brown运动及首次击中
   
的时刻可记为
   
和
FTX提出动议从Modulo Capital冲基金中收回4.6亿美元:金色财经报道,FTX提出动议,要求达成和解协议,为利益相关者追回 4.6 亿美元的资产。Alameda Research 于 2022 年向 Modulo Capital 投资了 4 亿美元。根据备案文件,追回的 4.6 亿美元资产占 Modulo 剩余资产的 99% 以上,其中包括 4.04 亿美元现金。Modulo 还将放弃对 FTX.com 和 FTX.US 账户中持有的 5600 万美元资产的任何索赔。由于和解,Alameda 也将失去对其在 Modulo 的股份的任何索赔。
该协议仍必须得到美国破产法官约翰多尔西的批准,他已安排在 4 月 12 日举行动议听证会。[2023/3/23 13:22:09]
   
,这里
   
定理1
常数A,B>0,
   
   
证明见相关教科书。
记
   
为Brown运动第
   
次击中
   
的时刻。
标记为NEXO的地址已经从MakerDAO提取了7758.8枚WBTC:金色财经报道,PeckShieldA监测显示,标记为NEXO 0x8fd的地址已经从MakerDAO提取了7,758.8枚WBTC(约1.51亿美元),约为提取前MakerDao中持有WBTC的50%。[2022/10/1 18:36:33]
定理2
常数A,B>0,
   
   
证:由Brown运动的Markov性可知,
在时间段
   
内的Brown运动相互独立。
不妨将
   
替换为一组独立变量
   
满足条件
   
。
于是,
   
   
   
Baekdu Technologies从Mirae Asset Ventures筹集100万美元:11月10日消息,区块链对冲基金Baekdu Technologies在pre-A 轮融资中从Mirae Asset Ventures获得了100万美元。(BeinCrypto)[2021/11/10 21:40:15]
(根据独立性)
   
   
另一式同理可证。
带屏障的Brown运动
定义1
设常数
   
,充分小的
   
为这样一种运动:
1、当
   
在
   
上时,作Brown运动;
2、在某一时刻
   
处恰好
   
时,
   
V神:有计划将主节点从Moria矿区转移到Cirith Ungol:金色财经报道,以太坊创始人V神在推特中做你问我答节目,在回答以太坊核心开发者、EIP-1559联合作者eric.eth关于ETH 2.0的相关问题时,V神表示,是的,有一个计划是将主节点从Moria矿区转移到Cirith Ungol,但不幸的是,这个计划被推迟了,因为莫里亚仍然有14天的隔离期。[2021/9/2 22:54:14]
瞬间减小
   
,同时产生了一个负冲击,冲击量为
   
;
3、在某一时刻
   
处恰好
   
时,
   
瞬间增加
   
,同时产生了一个正冲击,冲击量为
   
;
则称
   
为以
   
Whale Alert显示600枚比特币从MtGox冷钱包转出系误报,实为f2pool钱包地址:12月24日消息,Whale Alert数据检测显示,600枚比特币从MtGox冷钱包转出至未知钱包。经地址追踪,发现此地址系误报,并非MtGox冷钱包,实为f2pool wallet地址。[2020/12/24 16:21:13]
为上屏障、以
   
为下屏障的Brown运动。
定义2
假设在某一时刻
   
时
   
,设在时刻
   
到时刻
   
之后第一次击中A之前产生
的正冲击之和为
   
(包括时刻
   
处产生的冲击),
其分布函数
   
。
相应的,可以定义负冲击之和
   
及其分布函数
   
。
易知,
   
   
   
令
   
,有
   
当
   
时,
   
由此可以得到
   
时的正冲击量之和
   
及其分布函数为
   
其概率密度函数为
   
,
其期望值为
   
,
下面讲冲击时,均默认为
   
的情形。
建模和分析
假设稳定币价格在未作干预时作几何Brown运动,稳定币运营商在
   
处挂买
单,在
   
处挂卖单,在时刻t时的价格为
   
。
对价格取对数,假设
   
,
为以
   
为上屏障、
以
   
为下屏障的Brown运动,
这里
   
为常数。
由上一节内容,可以相应地定义正冲击量之和
   
及其分布函数
   
。
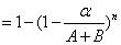
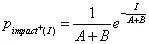
定义3
风险干涉
   
易知,
   
。
举例和解释
风险干涉R表示稳定币运营商在遭遇每一波稳定币抛售时受到的平均资金压力。
举个例子,假设市场上有1000万个面值为1元的稳定币,稳定币运营商手中可动用资金仅有700万元,如果将所有资金都用于回购稳定币,那么仅能回购70%。为了保证系统的绝对稳定性,一个合理的做法是,运营商在1元处挂卖单、0.7元处挂买单。此时,运营商在每一波稳定币抛售时遭遇的平均资金压力为1/0.7=1.42857倍。
近日,新型冠状病肺炎的疫情给我们带来了严峻的考验,全国各方都在通力合作、共同战“疫”。在这个特殊时期,正保远程教育向湖北地区免费开放多类线上课程,同全国人民一起共克时艰!教育是有温度的行业,自.
1900/1/1 0:00:00都知道今年是减半行情,想着在减半行情的时候大赚一笔,但是从历史减半行情来看,大家都忘记减半行情之前都会有一波大跌行情吗?苏哲之前就和朋友说过.
1900/1/1 0:00:00有些人,看得云里雾里的,所以我觉得还是有必要总结下,我的文章内容的连贯穿插的行情内容,单篇可能只是阐述某个大概观点,细看才会发现,咦,有玄机.
1900/1/1 0:00:00《OK江湖录-嘉宾大讲堂》由全球顶级交易所最专业最安全的数字资产交易平台OKEx主办的行业深度访谈栏目。主要内容是行情分析,市场政策,行情分析,技术指标,投资技巧,\n个人经验等,币圈故事.
1900/1/1 0:00:00苏哲一直提醒大家做趋势交易,除了有技术方面的考量,也是为了更好的避免这样的“人祸”。或许有部分投资者深知这其中的风险,追求的就是比市场先行一步“只要跑得够快,瀑布就追不上我”,但最好的甄别方式还.
1900/1/1 0:00:00带来一个关键词:公众联盟链。这里面两个关键字一个“公”一个“联盟”,会让人想起区块链阵营中有公有链和联盟链之分,微众银行选择的路线是联盟链.
1900/1/1 0:00:00