本文源于十四正在撰写的《UniSwap从V1到V3的去中心化交易所之路》中用作资料援引,也发现市面文章的推导公式都颇为复杂,且重要逻辑转换缺乏描述,而无常损失又是Dex中AMM的重要部分,故单独成文。如读者对无常损失以及对应影响有兴趣的,亦可直接跳转文末阅读白话版本。本文推导基于AMM经典恒积公式

AMM机制简介可阅读:一文讲清-NFT市场新秀SudoSwap的AMM机制-创新挑战与局限部分公式中虚线系公式编辑器误操作,无实际意义如需word源文档可在公众号后台回复“无常损失”获取Part1:计算初始持有价值
假定我持有若干e0(ETH)以及若干t0(Token),初始两者价值相等,如1e0=10t0,用公式表达其token的价格则p0为:

分析 | 币安中签解读:最新中签率显示持仓逐步分散 机构投资者或有一定撤离:据TokenGazer观察BNB最新的中签信息,TokenGazer猜测机构投资者可能已经有一定程度撤离。
本次elrond中签率仅为11.07%,大幅度低于one的30%和matic的58%;
总签数10833,共计锁定978.5万BNB,约占BNB总体供应的10%,远远高于之前锁定2%左右的量,说明BNB的持仓已经有了一定程度的分散。
而币安自6月中宣布在9月隔离美国用户后出现较大幅度的跌幅,时间点上和本次Launchpad抽签时间段重合,可能说明机构投资者对监管有所顾虑已经出现一定程度撤离。[2019/7/2]
则我持有的总价值等于数量*价格为:

如果未进行Uniswap注入Lp的行为,则未来即使token对比Eth的价值变动,产生了新的价格,则我介时的资产总值VH为:

动态 | 比特币COT持仓周报解读:Asset Manager账户空头持仓为0 短期维持看多判断:美国商品期货委员(CFTC)今日发布了截止5月7日的交易员持仓报告(COT),报告显示,芝加哥期货交易所(Cboe)比特币期货持仓量共2607手,环比减少103手。杠杆基金多单226手,空单887手,净空头数量为661手。芝加哥商品交易所(CME)比特币期货持仓量为4388手,环比增加75手,杠杆基金多头合约为1941手,空头合约为2692手,净空头合约为751手。上周Ass..[2019/5/11]
Part2:为UniSwap注入流动性
我们可以将ETH和代币两者按一定比例注入流动性,这里方便计算假定为按总值各占50%的注入,流动性池会给我们Lp的凭证,如10个LpToken用于证明我们占据当前总流动性的分红权益股份。由于恒积公式,只有注入和抽离LP会改变K值

所以可以推导出计算当前e1的数量公式:
声音 | EOS pacific创始人解读EOS宪法2.0:删减多条目是为仲裁机构减轻压力:今天,EOS pacific创始人王栋在引力生态峰会上表示,BM推出的宪法2.0版最核心的有以下几个方面:
1、CODE IS LAW。所有的法律都应代码化,即使代码有BUG。
2、BM进一步诠释合约,把整个合约清晰定义。如果各方理解有不同,才需要仲裁员出现。仲裁机制主要的工作范围已经大幅度缩小。
3、私钥的丢失是个人的责任,不是通过仲裁可以解决的问题。
4、在智能合约定义的范围内,仲裁能冷冻Token的转移。
王栋还表示,EOS宪法从1.0版的20条减到9条,把很多东西去掉,就是让Token不要根据自己对宪法的理解套用自己的情形,无限的给仲裁机构施加压力。[2018/7/15]

最终

金色财经独家分析 巨人转让区块链相关股份的两种解读:被投资公司盈利能力反映在巨人公司的投资损益项,盈利能力存在风险会直接对其财务报表产生风险,而这正是股东看重的地方。巨人公司出售OKC股份,从因“不确定性”而“保护投资者”理由解释合理充分,转让对价2850万美元占2%左右比例并不高,董事会在其职权范围内作出决定也不用劳烦整个股东大会,巨人也按照程序做了相同的关联方解释,资产并未被低估贱卖,完全符合要求。
然而“不确定性”却存在两种解读。如果解释为风险,史玉柱等自然展现了担当与无私;如果解释为潜在收益,那么OKC成功转型带来的利润巨人公司的广大股东也是享受不到的。旁人并不知道史玉柱和董事会的想法,但至少,此次减少“区块链”相关的股权,并不能说明OKC或区块链概念的利空。如果真是巨大风险,就没必要卖给“利益相关方”了,解释为史玉柱与股东会的“分歧”更为准确。而且值得注意的是,OKC是从经营币到搞区块链“实业”,更符合政策,有理由是个正向消息。[2018/3/24]
如此综合计算我们可以提取的流动性价值VU是

韩国强监管信号解读:政府尚未形成统一意见:金色财经独家采访了韩国几大主流交易所负责人,他们向金色财经透露本次强监管信号的形成原因。其中提到,由于韩国近期比特币价格高于其他国家交易所,促使更多投机者进入韩国市场搬砖,这加大了外汇场外交易风险,为防止某些换汇公司铤而走险进行违法行为,故发布了此条公告。同时,据韩国相关人士透露,政府不同机构对加密货币的立场不一,法务部对加密货币态度最严格,其他政府部门虽强调了加密货币监管的重要性,但仍对其持开放态度。因此有专家认为,韩国政府部门的意见不统一,不会立即出台强监管政策。[2017/12/28]
此处得出VU的将构成后续无常损失部分的被减数,因此特地为VU推导了上诉的两个采用e1以及不采用e1的公式Part3:无常损失公式推导
依据Part1我们得出了保持持有当前token的价值VH,依据Part2我们得出了不用持有而是投入Uniswap做LP的总价值VU,显而易见:Divergenceloss应该是VD

由于价值涨跌应该依据其对于原始价值的比值,所以我们把等式两边都除以VH

此处带入上文Part1和2结论中的VH与VU详细公式

所以无常损失率VD/VH为:

这时最关键的一步,无常损失发生在有价格差的两个时间段上,所以我们来带入价格的变化率R,其等于两个时间的价格相除

结合Part1中的公式

所以R也等于

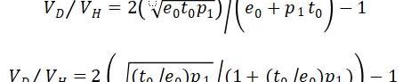
结合无常损失率VD/VH我们将核心部分都乘以e0来形成只有R的最终公式

这样则可以化简出只有R来表示的无常损失率

由于最终无常损失率值和R值有关系,则也意味着只要R有变动,无论增加还是减少,都将产生无常损失,并且按倍数衡量是一个对等的数值Part4图表化无常损失公式
我们可以通过绘图工具来呈现这个公式的结果,虽然下图看似是一个非对称的曲线,但实际上是对称的,因为他是一个相对的倍率,即对于原价值的1ETH=100Dai而言,跌到1ETH=50Dai是下跌1倍,等于涨到1ETH=200Dai则是上涨1倍,其无常损失是相同的均为5.72%


如何理解无常损失?无常是什么意思?首先他是命名不恰当,之前选择“无常”这个词是因为如果价格背离被逆转,那么由于价格背离造成的损失也会被逆转,后来更多的文章会采用来描述他。无常损失在何时发生?如果价格回到与流动性提供者增加流动性时相同的价值,这种损失就会消失。这种损失只有在流动性提供者撤回其流动性时才会实现,并且是基于存款和取款之间的价格差异无常损失会超过导致LP入不敷出吗?流动性提供者的实际回报,其实是价格差异造成的背离损失与交易所交易的累计费用之间的平衡。

如上图,该账户自成为LP以来,与仅持有原始资金相比,该账户一直处于净负头寸。这是由于在此期间ETH价格变动造成的巨大背离损失。然而,自始至终总费用一直在稳步累积。随着ETH价格接近提供流动性的价格,大部分损失会被扭转。无常损失究竟来源何处?向市场提供流动性做LP,即成为做市商,实际上是和市场中的用户做对手盘。而AMM是被动的和市场中的用户做对手盘,即当市场中大部分人看好ETH的后续市场,则会用DAI买入ETH,你的流动性池子会被动的增加DAI而减少ETH。所以,提供流动性就代表了总是和市场做反向的操作,总是倾向去持有更多的弱势资产。于是当ETH上涨,你的流动性会不断提前抛出ETH,而拿到更多的DAI,这些被提前抛出的\nETH就成了无常损失的来源,即这个时候无常损失可以理解为你在ETH上的踏空损失,或者是被外部套利者拿走了池内的价值。相关资料https://uniswap.org/whitepaper.pdfhttps://pintail.medium.com/understanding-uniswap-returns-cc593f3499efhttps://pintail.medium.com/uniswap-a-good-deal-for-liquidity-providers-104c0b6816f2https://hackmd.io/@HaydenAdams/HJ9jLsfTzhttps://github.com/Dapp-Learning-DAO/Dapp-Learning/blob/main/basic/13-decentralized-exchange/uniswap-v1-like/README.md欢迎你从公众号后台留言作者探讨web3行业问题点赞关注十四,用技术视角带给你价值
2022年回顾2022年是以OP和Arbitrum为代表的L2腾飞的一年,在这一年中,OP在5月推出了OP代币,并在今年夏天配合OP生态空投掀起了一波OP小Summer.
1900/1/1 0:00:00$CANTO最近受到了很多关注,但我还没有看到一个一体化的线程。所以我决定探索他们的生态系统来帮助你们理解@CantoPublic是什么,它是如何运作的,它是庞氏局吗?关于$CANTO你需要知.
1900/1/1 0:00:00ETH当前的年通货膨胀率为-0.02%,自合并以来总供应量减少了9500多枚根据UltrasoundMoney的数据,ETH年通货膨胀率在1月15日降至0以下.
1900/1/1 0:00:00原文作者:AbdullahUmar原文编译:西昻翔,ChainCatcher加密市场的斗争,比你想象的更具性。上周,WormHole和LayerZero之间发生了一场戏剧性的战斗.
1900/1/1 0:00:00Odaily星球日报译者|Moni 最近几个月,NFT聚合平台Blur上的交易量始终处于高位,根据DuneAnalytics最新数据信息显示,当前Blur总交易额已突破70万枚ETH.
1900/1/1 0:00:00最近我写了一篇名为《MEV的第一个五年:从Flashbots诞生前说起》,作为今天这篇文章的前传。看到MEV过去一年的发展,我对它将在加密生态系统中扮演重要角色而充满希望.
1900/1/1 0:00:00